Vickers Hardness Tester: Precision in Material Testing
In the field of materials science and engineering, determining the hardness of a material is a critical step to ensure quality, durability, and performance. Among the various methods available for hardness testing, the Vickers hardness tester stands out as a reliable and versatile tool for precise measurements. This article explores the features, applications, and advantages of the Vickers hardness tester, highlighting its importance in material testing.
How Does the Vickers Hardness Test Work?
The process begins by pressing a diamond-shaped indenter into the material under a specific load. The load can vary depending on the material being tested and the application. Common loads range from a few grams to several kilograms.
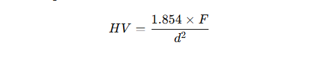
Once the load is applied and the indentation is made, the tester measures the diagonals of the square-shaped impression left by the indenter. Using these measurements, the hardness value is calculated using the following formula:

Where:
- HVHVHV = Vickers hardness value
- FFF = Applied force (in kilograms)
- ddd = Mean diagonal length of the indentation (in millimeters)
Applications of Vickers Hardness Testers
- Metallurgy and Material Science
The Vickers hardness tester is widely used in metallurgical laboratories to evaluate the mechanical properties of metals and alloys. It helps determine the hardness of steel, brass, aluminum, and other materials, providing insights into their wear resistance and durability. - Quality Control in Manufacturing
Industries such as aerospace, automotive, and electronics rely on Vickers hardness testing to ensure the quality and consistency of their products. This test is particularly useful for thin materials and coatings, which require precise measurements. - Microhardness Testing
The Vickers hardness test is also used for microhardness testing, where it evaluates the hardness of small components, thin films, or coatings. This capability makes it an essential tool in research and development for advanced materials. - Educational and Research Institutions
Universities and research centers use Vickers hardness testers for teaching purposes and to conduct experiments on material behavior under various conditions.
Advantages of Vickers Hardness Testing
- High Precision
The Vickers test provides highly accurate and repeatable results, even for small or thin samples. - Wide Range of Applications
It can test a variety of materials, from soft metals to hard ceramics and coatings, making it highly versatile. - Non-Destructive Nature
The test leaves minimal damage on the material’s surface, which is particularly beneficial for high-value components and samples. - Ease of Conversion
The results from a Vickers hardness test can be easily converted into other hardness scales, such as Rockwell or Brinell, ensuring compatibility with different industry standards. - Uniform Indentation Shape
The square indentation provides a uniform shape that is easy to measure, enhancing the accuracy of the calculations.
Choosing the Right Vickers Hardness Tester
Modern Vickers hardness testers come with advanced features, such as:
- Digital Displays: For easy reading and recording of results.
- Automated Systems: Reducing human error and increasing efficiency.
- Adjustable Loads: Allowing flexibility for different materials and applications.
- Integrated Cameras: For capturing and analyzing indentation images in real time.
When selecting a Vickers hardness tester, consider factors such as the material to be tested, the required load range, and the level of precision needed. Advanced models also offer software integration for data analysis and reporting.
Conclusion
The Vickers hardness tester remains an indispensable tool in material testing due to its precision, versatility, and ease of use. Whether in research, quality control, or industrial applications, it ensures that materials meet the necessary standards for hardness and durability. By investing in a reliable Vickers hardness tester, industries and researchers can maintain high-quality standards and advance their understanding of material properties.
As technology continues to evolve, the capabilities of Vickers hardness testers are expected to grow, further solidifying their role as a cornerstone in the field of material science.
